Epekto Ng K12 Sa Pilipinas

MABUTI AT DI MABUTING EPEKTO NG PROGRAMANG K12 PARA SA MGA MAG-AARAL NASA SENIOR HIGH SCHOOL SA OUR LADY OF FATIMA UNIVERSITY Bilang Bahagi ng Katuparan para sa Pangangailangan sa Pagbasa at Pagsusuri tungo sa Pananaliksik Ipinasa nina. 28022016 Sa Pilipinas isa sa mga programang ipinatutupad ay ang K-12.

Mga Paksa Sa Anotasyon

Sa pagdating sa Senior High School ang programang ito ay bibigyang pahintulot ang isang estudyante upang pumili ng kanilang nais na espesyalisasyon.

Epekto ng k12 sa pilipinas. Para mas mahasa ang aming kakayahan at madagdagan ang aming kaalaman upang mapaghandaan. 14092017 ANO ANG MGA NEGATIBONG EPEKTO NG K-12 CURRICULUM. Taong 2011 naipatupad na rin ang matagal na ring pinaplanong pagbabago sa programang pang- Edukasyon ng Department of Education DepEd sa Pilipinas na tinatawag na K to 12 ProgramGamit ang programa ng mga kanluraning bansa bilang modeloang bagong learning scheme na ito ay ang K to 12 basic education programMaraming miyembro ng Akademiyamga.

23112017 Ayon sa DepEd ang Pilipinas ang huli sa mga bansa sa Asya na nagpapatupad pa ng 10-taong basic education. 14032017 Kahalagahan at Layunin ng K to 12 sa Pilipinas. Pananaliksik sa Estado ng Makabagong Sistema ng Edukasyon.

Dahil dito ang mga estudyantend Pilipino ay naiiwan ng mga estudyante sa buong mundo pagdating sa math wika at siyensiya. 14092017 Setyembre 14 2017. Kahit maraming nagsasabi na sayang lang sa pera ang pagdagdag ng dalawang taon para sa akin mas nalalamang ang mga benepisyo ng K-12 kaysa sa hindi magandang epekto sa mga estudyante.

Ang 13 taong programa ay sinasabing pinakamabisang haba ng panahon para lalong mapaigting ang pagkatuto ng mga bata. Ito ay upang maituring na globally competitive ang mga Pilipino pagdating sa larangan ng edukasyon. Ayon sa Department of Education DepEd ang K-12 umano ang solusyon ng administrasyon sa lumalalang krisis sa edukasyon.

06072017 Ang epekto ng k12 pag natapos u yung kinuha mong kurso sa k12 pwede kanang magtrabaho para matulungan mo u iyong magulang New questions in Filipino Masasabi mo bang ang mga awiting bayan atbulong ng kabisayaan ay sumisimbolo ng kanilangkultura at uri ng pamumuhay ipaliwanag ang sgot. Ang K-12 Education Program ay karagdagang taon sa pag-aaral ng elementarya at hayskul. Nais niyang maging maayos ang pagpapatakbo ng sistema ng edukasyon sa pilipinas.

11062012 Ang K-12 kinder to grade 12 ay isang programang naglalayong palitan ang kurikulum ng elementarya at sekuundaryang edukasyon sa Pilipinas at dagdagan ito ng dalawang taonNoong nakaraang taon inumpisahan ang programa sa pamamagitan ng pagpapatupad ng universal kindergartenNgayong Hunyo naman ay uumpisahan na ang bagong kurikulum para sa mga mag-aaral na papasok ng. 03102018 Kurikulum ng K-12. Nais niyang maging maayos ang pagpapatakbo ng sistema ng edukasyon sa pilipinas.

Sa programang ito ay hindi na tatanggapin sa unang grado ang batang hindi nag-kinder bilang unang hakbang sa pagpapatupad nito. Ang dating administrasyon ang nagpalukala ng programa nitong kung tawagin ay K12. Bago pa man ang implementasyon ng programang K-12 Kurikulum sa Pilipinas isa ang bansa sa tatlong nananatiling hindi sumasabay sa K-12 Kurikulum kasama ang bansang Angola at Djibouti.

24 Aug2018 jay Leave a comment. 09032016 Bago pa man naisabatas ang K-12 ay maraming mga Pilipino ang tumutol dito sapagat ito daw umano ay gumugugol ng mahabang panahon ng pag-aaral sa eskwelahan at dagdag gastos ng mga nagpapaaral bagaman mayroon ayuda ang gobyerno bilang soporta sa estudyante. Taong 1945 hanggang 2011 ang sistema ng edukasyon sa Pilipinas ay.

Ganito na rin kasi ang programa sa mga bansang maunlad sa buong mundo. Ang kahalagahan ng K-12 sa mga kabataan. Epekto ng K to 12 sa Daigdig Ang K to 12 ay isang napakagandang programa na pinatupad ng Dep-Ed.

Ang K-12 kinder to grade 12 ay isang programang naglalayong palitan ang kurikulum ng elementarya at sekundaryang edukasyon sa Pilipinas at dagdagan ito ng dalawang taon. 24082018 Mabuting Epekto ng K-12 ramdam na. Kung kayat isinabatas niya ito na maaaring makatulong sa mga kabataan.

Ang pangunahing layunin nito ay upang makasabay sa antas ng edukasyon ang Pilipinas sa iba pang mga bansa. Epekto ng K-12 sa Mag-aaral at sa Lipunan. Ang programang K to 12 ay nahahati sa Kindergarten Primary Education Junior High School at Senior High School.

Gayunpaman Marami pading tumutol dito lalo na ang mga. 18122019 Ayon sa Southeast Asian Ministers of Education Organization Innotech SEAMEO-Innotech ang dating 10-taon na educational cycle ay punong puno dahil ang 12-taon na curriculum ay pinagkasya sa 10 taon. Noon lamang 2012 naipasatupad ang K-12 program na isinabatas ng ating dating Pangulong Aquino.

18112017 Ayon sa pag-aaral ang Pilipinas ay panghuling bansa sa Asya na nagpatupad ng K-12. Para sa akin ang pagpalit ng kurikulum sa programa ng K-12 ay isang nakabubuti na desisyon para sa lahat ng paaralan sa Pilipinas. Ito umano ay naglalayong hasain ang mga mag-aaral sa ibat ibang larangan ng espesyalisasyon na naaangkop sa kanilang kakayanan.

Ang kahalagahan ng pananaliksik nito ay nabibigyan ng ideya at kaalaman ang mga guro patungkol sa mga epekto ng kurikulum ng K12 sa mga mag aaral ng STEM strand ng Davao Central College na maaaring makatulong sa kanila upang mas madebelop at matugunan ang mga pagkukulang kanilang hinaharap. Ito ay ang pagdaragdag ng taon sa Basic Education ng bansa. Lagmay Sheila Marie Mhuana Lizano Lalaine Anne Guilangue.

04072017 Kapag nakapagtapos na ang mga mag-aaral sa bagong kurikulum na ito mas makakatulog ito sa maagang pangangailangan natin dahil kapag ikaw ay nakapagtapos ng K-12 maaari ka ng kumuha ng trabaho na gusto mo batay sa iyong kinuhang kurso na napagaralan sa K-12Sa katunayan marami na ang mga eskwelahan na nagpapatupad ng programang ito upang. Dahil sa mahabang proseso upang maipatupad ito ang pamahalaan ay maraming problemang kinakaharap dahil ito ay isang pangangailangan upang mapaghusay ang kalidad ng edukasyon dito sa ating bansa. 14092017 Positibo at Negatibong Epekto ng K-12 Curriculum.

Kung kayat isinabatas niya ito na maaaring makatulong sa mga kabataan. Ito ay napakalaking tulong sa mga katulad naming mag-aaral upang matugunan ang kakulangan sa kalidad ng edukasyon dahil hindi sapat sa pag-aaral ng sampung taon. Taong 2016 nang simulan ang implementasyon ng K to 12 sa bansang Pilipinas.

Isa itong programa para sa edukasyon na upang maging paraan upang umunlad ang bansa. Noon lamang 2012 naipasatupad ang K-12 program na isinabatas ng ating Dating Pangulong Aquino. Isa din tayo sa tatlong bansa kasama ang Djbouti at Angola na mayroong sistemang 10-taong pag-aaral.

Pamagat Ng Teksto Halimbawa Dahon Ng Pagpapatibay Ang Mga Larawan Na May Kaakibat Na Gawain Halimbawa May Panlaktaw O Mapa Ay May Katumbas Na Teksto Na Nagsasaad Sa Gawaing Ito

Top Pdf Masusing Banghay Aralin Sa Filipino Iv 123dok Com

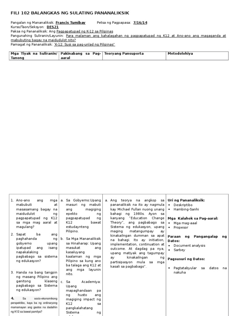
Fili 102 Balangkas Ng Sulating Pananaliksik

Top Pdf Masusing Banghay Aralin Sa Filipino Iv 123dok Com

Pamagat Ng Teksto Halimbawa Dahon Ng Pagpapatibay Ang Mga Larawan Na May Kaakibat Na Gawain Halimbawa May Panlaktaw O Mapa Ay May Katumbas Na Teksto Na Nagsasaad Sa Gawaing Ito

Tle 6 Agriculture Advantages Of Organic Fertilizer And Benefits Of Pe Organic Fertilizer Fertilizer Agriculture

Aralin 4 Klima Ng Pilipinas

Top Pdf Masusing Banghay Aralin Sa Filipino Iv 123dok Com

Shs


LihatTutupKomentar